Portable Mobile Truck Led Display Automatic Control High Arrival Rate
Ibm Websphere Application Server Performance Cookbook Statistics
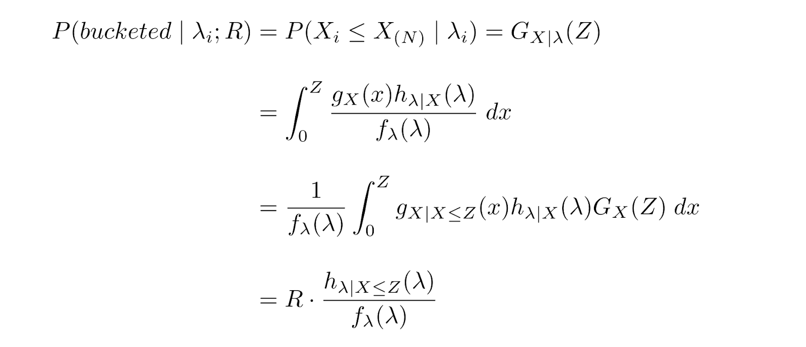
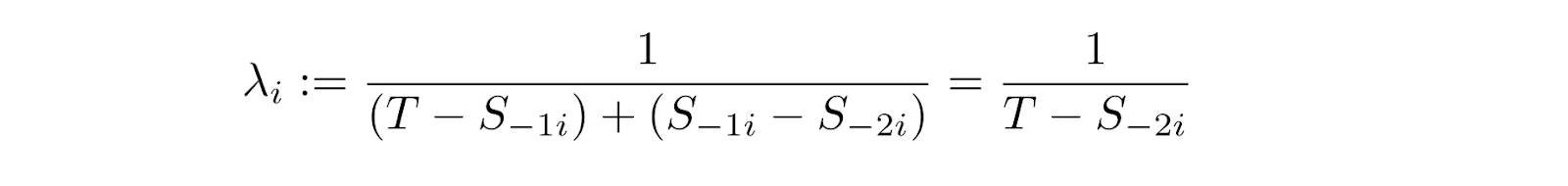
Arrival Rate Bias In A B Testing Good Things Come To Those Who Can T By Allen Sirolly Medium
The Arrival Rate L Vs The Average Number Of Users N Download Scientific Diagram
Throughput Vs Packet Arrival Rate Scatter Chart Made By Iamharveer Plotly